Ответы
Ответ дал:
0
Ответ:
Пошаговое объяснение:
Приложения:


Ответ дал:
0
Ответ:
Пошаговое объяснение:
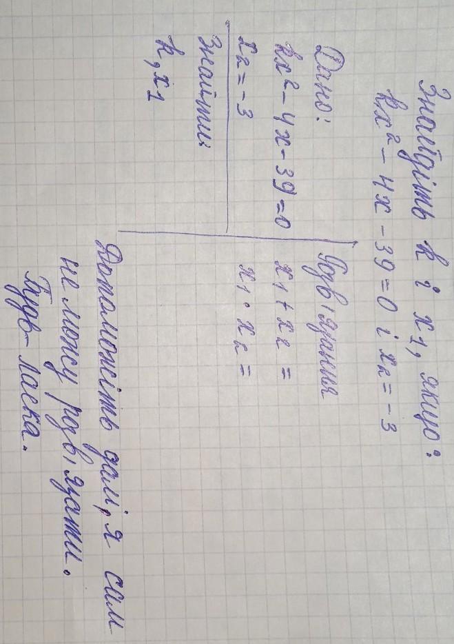
см рис
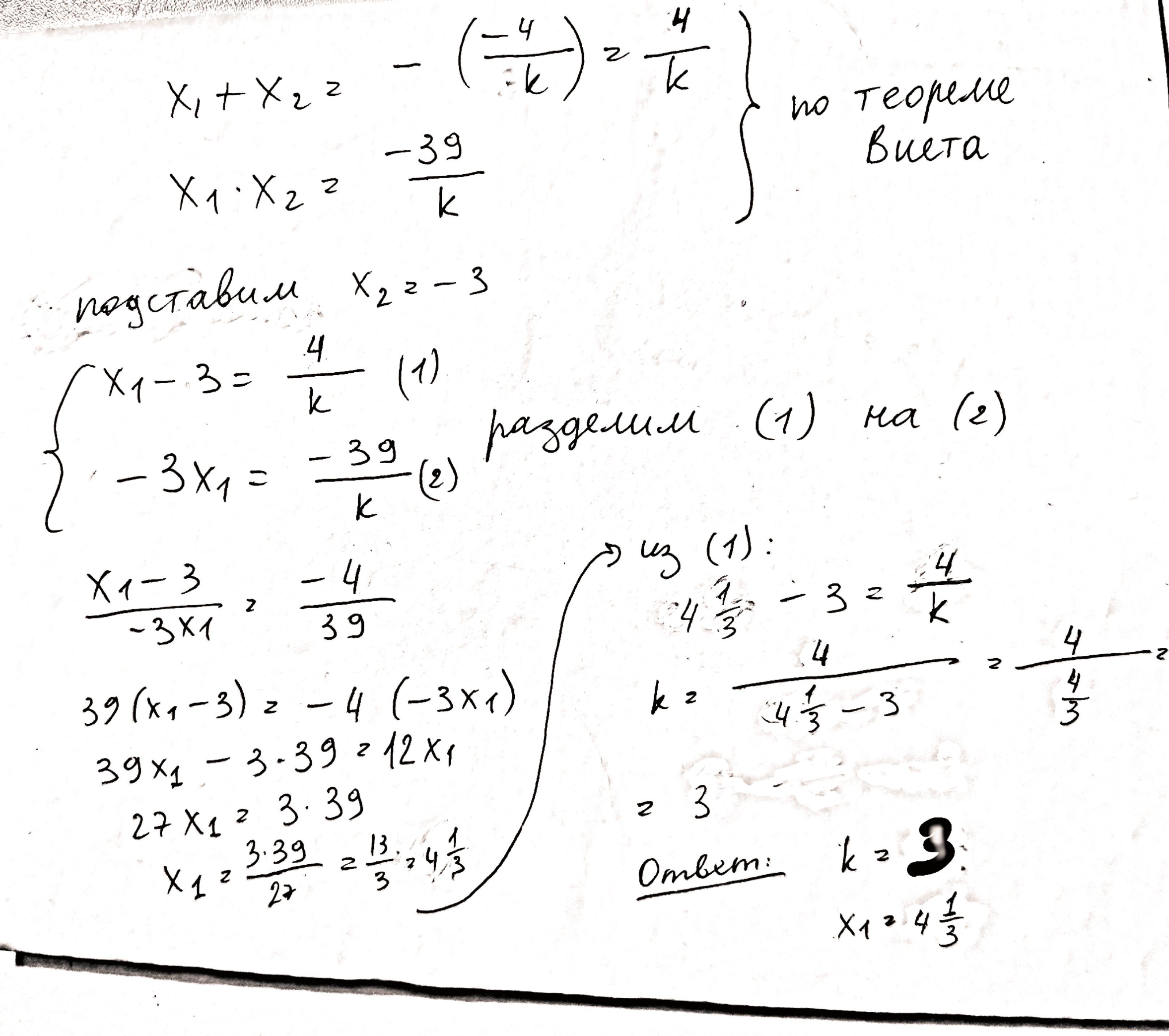
Еще можно было найти k если подставить в уравнение х2 = -3
А потом найти х1
Приложения:


Вас заинтересует
2 года назад
2 года назад
2 года назад
2 года назад
8 лет назад
8 лет назад
9 лет назад
9 лет назад