7.9
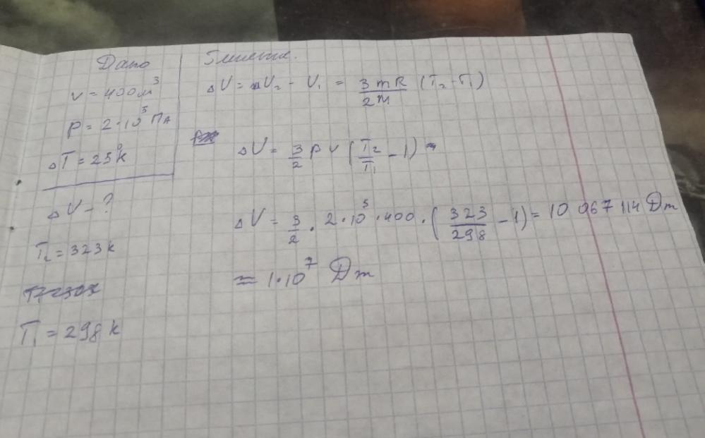
Воздушный шар объёмом 400 м3 заполнили гелием
под давлением
2*10^5 Па и оставили в жаркий солнечный день под открытым небом.
в результате нагревания температура гелия увеличилась с 25 до
50 °C. На сколько при этом увеличилась внутренняя энергия гелия?
Ответы
Ответ дал:
2
Ответ: сложная формула, но ответ найдет
Приложения:

Вас заинтересует
2 года назад
2 года назад
8 лет назад
9 лет назад
9 лет назад