Помогите пожалуста! 40 БАЛЛОВ!
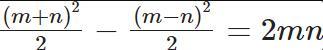
Доведіть тотожність!(см рисунок)
Докажите тождество!(см рисунок)
Приложения:

Ответы
Ответ дал:
1
Ответ:
Аноним:
здравствуйте! помогите пожалуйста сделать 3 примера https://znanija.com/task/43304785
Вас заинтересует
2 года назад
2 года назад
8 лет назад
9 лет назад