• Предмет: Алгебра
  • Автор: vovan6174
  • Вопрос задан 3 года назад

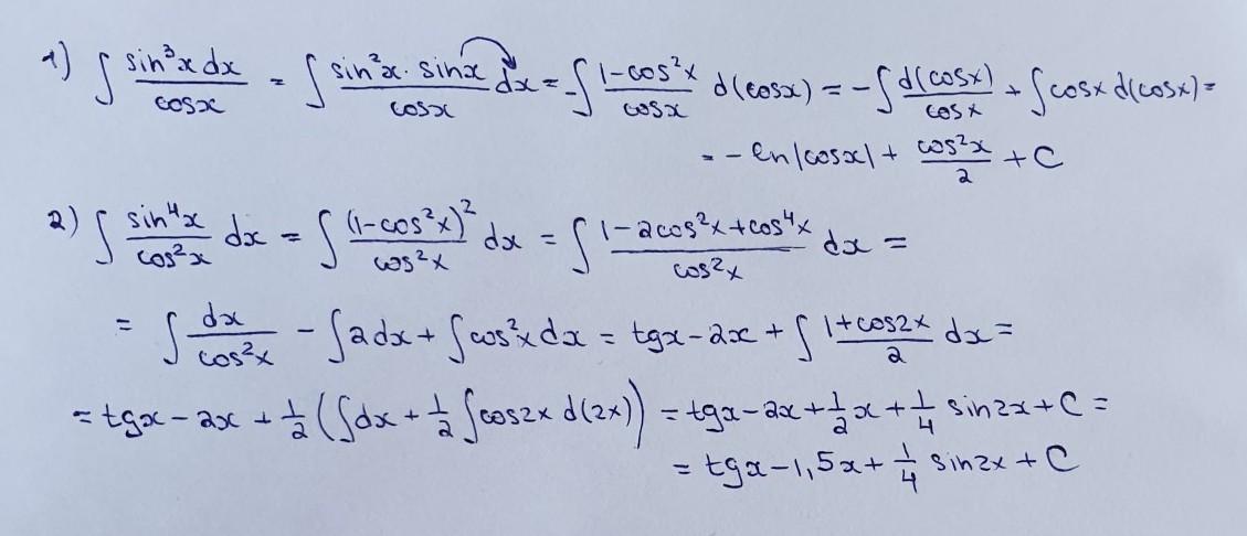
Интегрирование тригонометрических функций

Приложения:

Ответы

Ответ дал: Miroslava227
1

Ответ:

решение на фотографии.

Приложения:
Вас заинтересует