• Предмет: Математика
  • Автор: Аноним
  • Вопрос задан 3 года назад

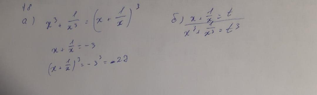
математика 11 класс пожалуйста решите пример думал думал и всё зачёркнуто

Приложения:

Ответы

Ответ дал: AkUmIrA
0

дада, так можно выносить)

Приложения:
Вас заинтересует