• Предмет: Математика
  • Автор: 9wtr0h9w045092h45hu
  • Вопрос задан 3 года назад

Решите лёгкое уравнение

Приложения:

Ответы

Ответ дал: manyny06
0

Ответ:

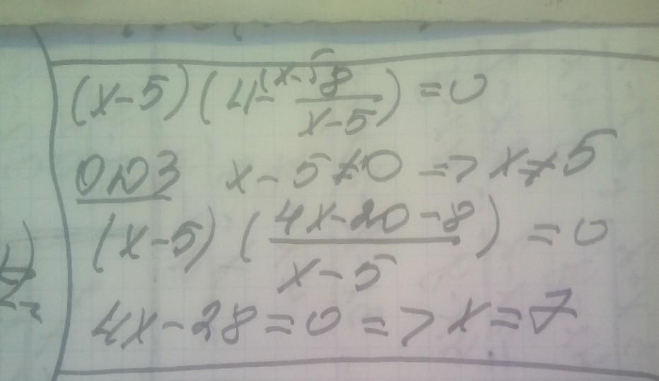
решение смотри на фотографии

Приложения:
Ответ дал: poncik758
0

Ответ:

наверное верно

Приложения:
Вас заинтересует