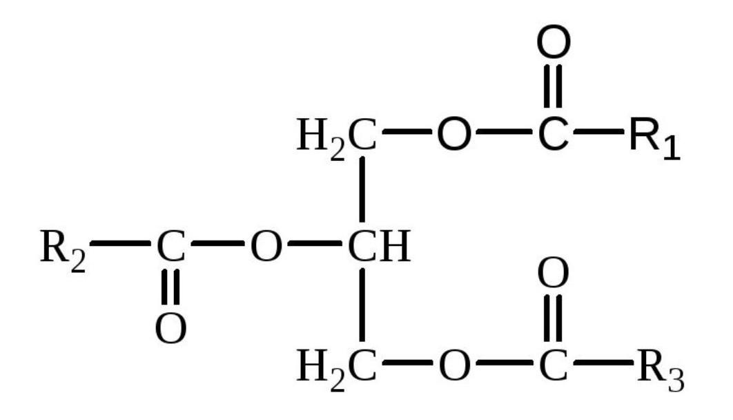
. Масло какао используется в производстве Шоколада. В состав
масла какао входит триглицерид, содержащий по одному остат-
ку пальмитиновой, стеариновой и олеиновой кислот. Напишите
возможную структурную формулу такого триглицерида.
Ответы
Ответ дал:
3
Ну как теперь, Доволен......
Приложения:

vnemero03:
напишите структурную формулу бро, это не то
Вас заинтересует
2 года назад
2 года назад
2 года назад
8 лет назад