Ответы
Ответ дал:
20
Объяснение:
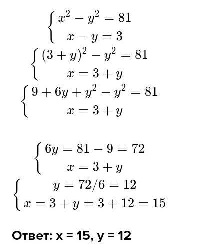
....................
Приложения:

kuzmenkovalentina44:
спасибо
Вас заинтересует
2 года назад
2 года назад
2 года назад
2 года назад
8 лет назад
9 лет назад