ЛОГАРИФМЫ
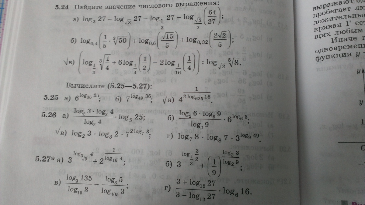
Решите,пожалуйста, подробно номера под галочками. Новая тема, не понимаю ,как их решать,путаюсь...
задание на фото
необходимые формулы тоже на фото
заранее спасибо за помощь
Приложения:



Ответы
Ответ дал:
0
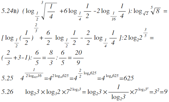
решение-во вложенииииииииииииииииииииииииииииииииии
Приложения:

Вас заинтересует
2 года назад
2 года назад
8 лет назад
10 лет назад
10 лет назад
10 лет назад