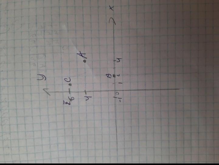
На координатной плоскости отметьте точки А(2:0), B(3;4), C(1; б), д(1;-5), E(-1;6)
Найдите: а) координаты точки пересечения отрезка АВ с осью ординат:
б) координаты точки пересечения отрезка АС с осью абсцисс;
в) координаты точки пересечения отрезков BE и СД:
г) координату точки пересечения отрезков АД и СВ
Ответы
Ответ дал:
6
Пошаговое объяснение:
вот надеюсь помог удачи
Приложения:

Аноним:
спасибо
Вас заинтересует
2 года назад
2 года назад
8 лет назад
9 лет назад