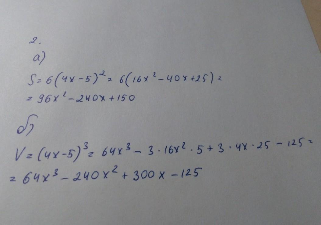
Ребро куба имеет значение a = 4х - 3
a) Напишите выражение для нахождения площади поверхности куба,
используя формулу S=6a2.
б) Напишите выражение для нахождения объема куба, используя формулу V=a3.
помогите пожалуйста СОЧЧ
Ответы
Ответ дал:
1
Ответ:
удачи всё на кортинке
Пошаговое объяснение:
Приложения:

Аноним:
пж лутший
Вас заинтересует
2 года назад
2 года назад
8 лет назад
8 лет назад
9 лет назад