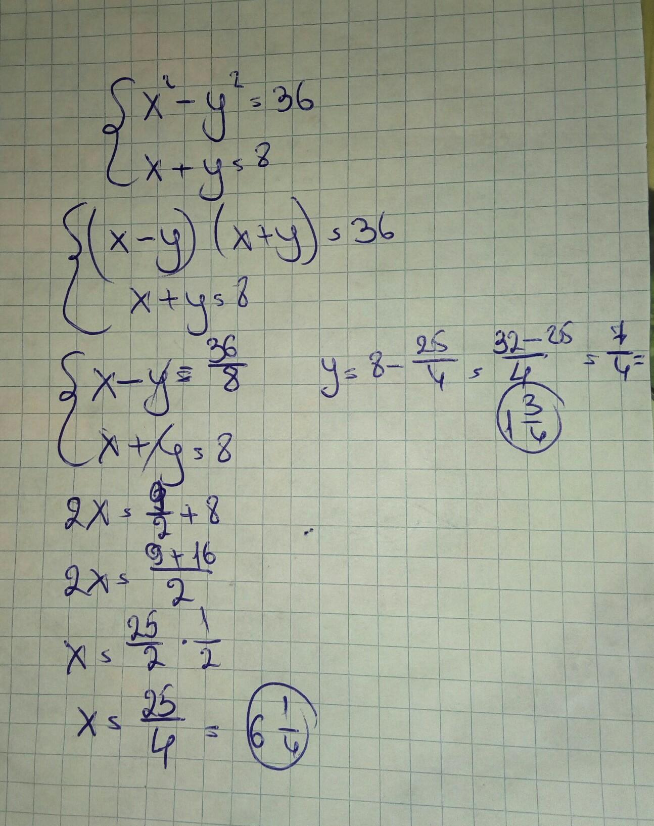
Разность квадратов двух чисел равна 36,а сумма этих чисел
равна 8. Найдите эти числа.
помогите пожалуйста
Ответы
Ответ дал:
3
Решение на фото, надеюсь помогла
Приложения:

lllllllr:
спасибо большое!
Вас заинтересует
2 года назад
2 года назад
8 лет назад
8 лет назад
9 лет назад