Решите задачу с помощью составления уравнения.
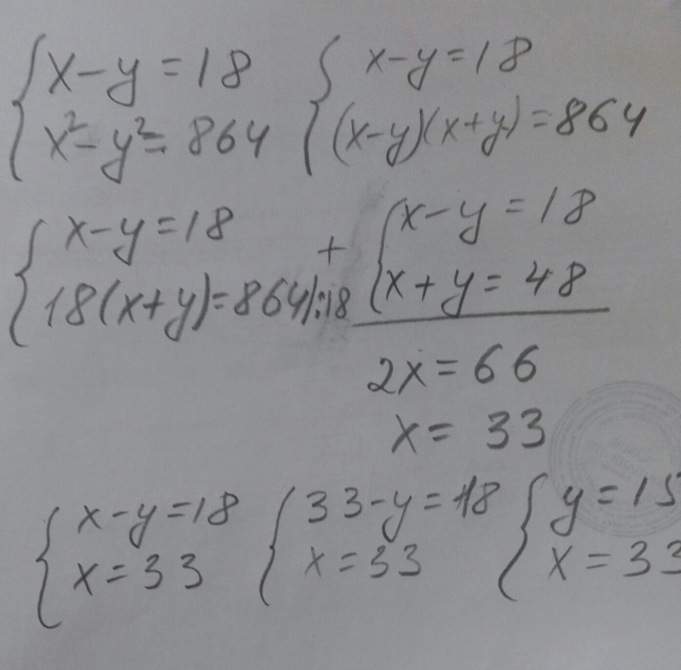
Разность двух чисел равна 18, а разность их квадратов – 864. Найдите эти числа.
помогите пж
Ответы
Ответ дал:
0
Объяснение:
ответ на вопрос на фотоз
Приложения:

Вас заинтересует
2 года назад
2 года назад
2 года назад
2 года назад
8 лет назад
9 лет назад