• Предмет: Математика
  • Автор: Аноним
  • Вопрос задан 3 года назад

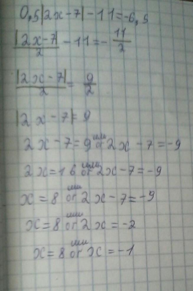
Решите уравнение: 0,5|2x-7|-11=-6,5​

Ответы

Ответ дал: kondrikovaleks61
1

я там в предпоследнем сделала 2 выбора :) если что пишите так как я 8)

Приложения:

Аноним: а это правильно?)
kondrikovaleks61: наверное
kondrikovaleks61: потому что я это с приложения решение уравнение._.
kondrikovaleks61: написала
Вас заинтересует