• Предмет: Қазақ тiлi
  • Автор: bekmyrzanurali
  • Вопрос задан 3 года назад

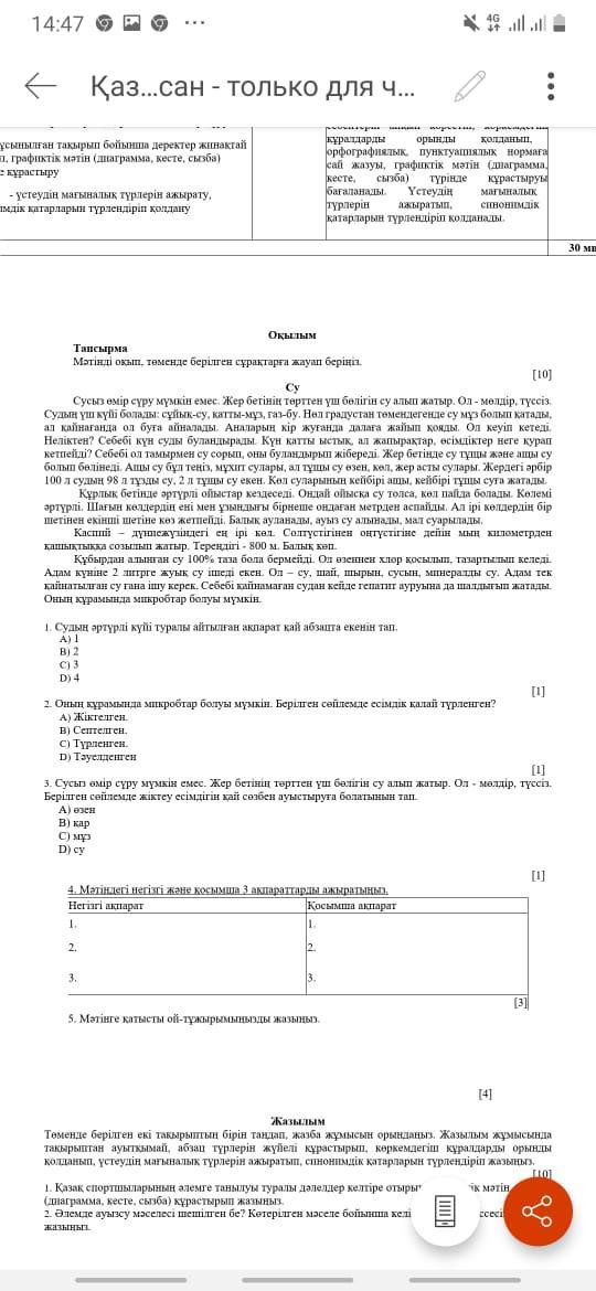
Пжпжп айтыңдаршы 30балл беремын пжпжпж срочна

Приложения:

bekmyrzanurali: Алллооооооооооооо

Ответы

Ответ дал: zhanarospanova21
2

Ответ:

не сомневайтесь!

все правильно!

сама решила!

пожалуйста только пишите благодарность!

никому не дайте, онсызда бәрі көрген шығар даже однаклассники

Приложения:
Вас заинтересует