• Предмет: Математика
  • Автор: sonyko
  • Вопрос задан 3 года назад

Решите срочно пжжж мне очень срочно ​

Приложения:

Ответы

Ответ дал: CodedEmerald
1

Ответ:

x ∈ (-∞; -1)

Пошаговое объяснение:

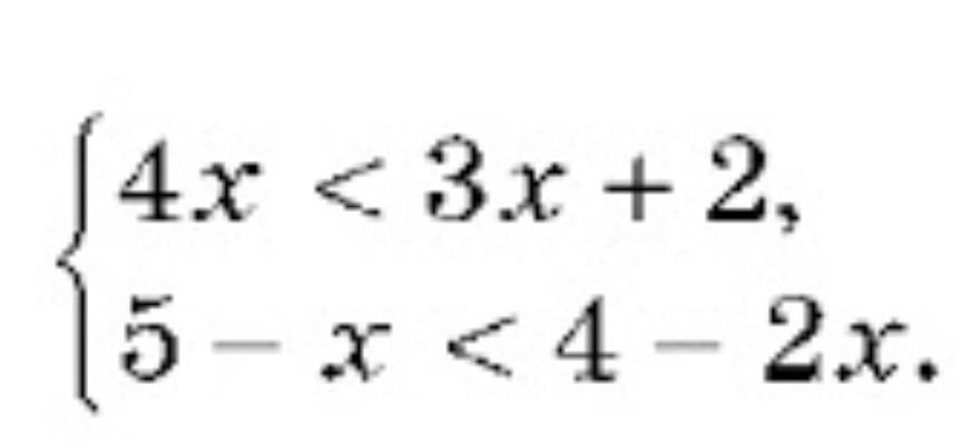
\left \{ {{4x<3x+2} \atop {5-x<4-2x}} \right. (=) \left \{ {{4x-3x<2} \atop {-x+2x<4-5}} \right. (=) \left \{ {{x<2} \atop {x<-1}} \right.

(-∞; 2) ∩ (-∞; -1) = (-∞; -1)

x ∈ (-∞; -1)

Вас заинтересует