• Предмет: Математика
  • Автор: sdobnikovaanna171
  • Вопрос задан 3 года назад

не надо)))))))))))))))))))))))))

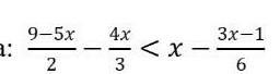
Приложения:

Ответы

Ответ дал: nicolasta2008
0

Ответ:

ну ок

вхаххахахахахахахахах

Пошаговое объяснение:

хахахахах спасибо

Вас заинтересует