Ответы
Ответ дал:
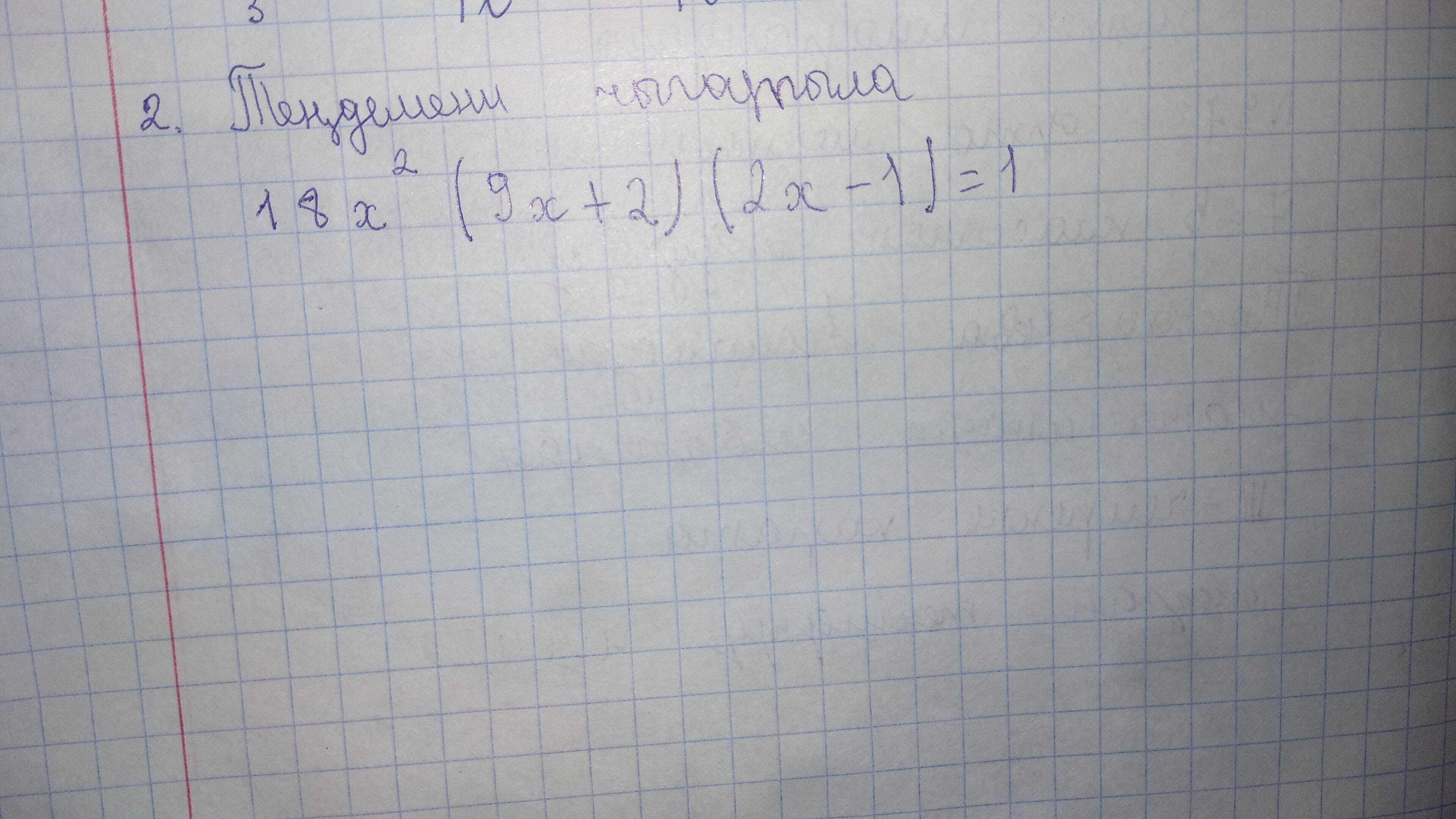
1
18х^2 тан кейін - тұру керек сияқты
Минуспен: 18х^2-(9х+2)(2х-1)=1
18х^2-(18х^2-9х+4х-2)=1
18х^2-18х^2+9х-4х+2=1
5х=2
Х=0,4
Минуссыз: 18х^2(9х+2)(2х-1)=1
18х^2(18х^2-9х+4х-2)=1
324х^2-162х^3+72х^3-36х^2=1
288х^2-90х^3=1
Минуспен: 18х^2-(9х+2)(2х-1)=1
18х^2-(18х^2-9х+4х-2)=1
18х^2-18х^2+9х-4х+2=1
5х=2
Х=0,4
Минуссыз: 18х^2(9х+2)(2х-1)=1
18х^2(18х^2-9х+4х-2)=1
324х^2-162х^3+72х^3-36х^2=1
288х^2-90х^3=1
Вас заинтересует
2 года назад
2 года назад
3 года назад
8 лет назад
10 лет назад
10 лет назад