• Предмет: Алгебра
  • Автор: strongperson
  • Вопрос задан 3 года назад

Даю 25 баллов!

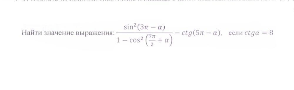
Найти значение выражения sin2...: (на фото)

Приложения:

Ответы

Ответ дал: Miroslava227
2

Ответ:

 \frac{ \sin {}^{2} (3\pi  - \alpha ) }{1 -  \cos {}^{2} ( \frac{7\pi}{2}   + \alpha ) }  - \ctg(5\pi  - \alpha ) =  \\  =  \frac{ \sin {}^{2} ( \alpha ) }{1 -  \sin {}^{2} ( \alpha ) }  + \ctg( \alpha ) =  \\  =  \frac{ \sin {}^{2} ( \alpha ) }{ \cos {}^{2} ( \alpha ) }  + \ctg( \alpha ) = \tg {}^{2} ( \alpha ) + \ctg( \alpha ) =  \\  =  \frac{1}{\ctg {}^{2}  (\alpha )} +  \ctg (\alpha)  =  \\  \\  =  \frac{1}{ {8}^{2} }  + 8 =  \frac{1}{64}  + 8 = 8 \frac{1}{64}

Вас заинтересует