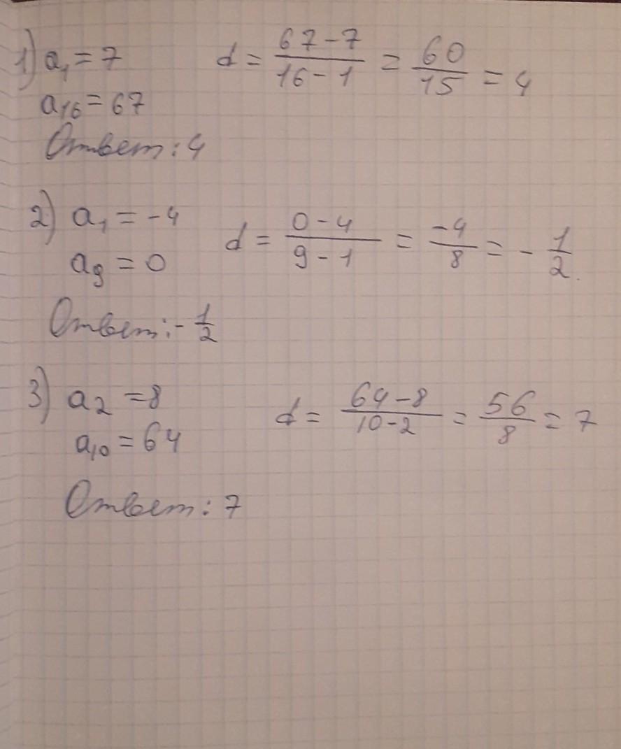
Найдите разность арифметической прогрессии, если: 1)a1=7, a16=67; 2) a1=-4, a9=0; 3) a2=8, a10=64:
Ответы
Ответ дал:
0
Объяснение:
Вроде все правильно проверь ....
Приложения:

Вас заинтересует
2 года назад
2 года назад
2 года назад
8 лет назад
9 лет назад