• Предмет: Алгебра
  • Автор: strongperson
  • Вопрос задан 3 года назад

Даю 25 баллов!
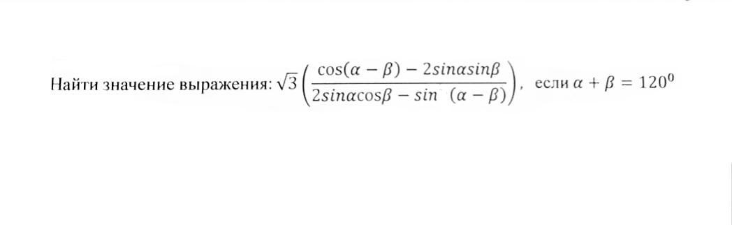
Найти значение выражения
(Фото)

Приложения:

2ReCKey: ответ 1
2ReCKey: отставить -1

Ответы

Ответ дал: Miroslava227
1

Ответ:

 \sqrt{3}  \times  \frac{ \cos( \alpha -   \beta )  - 2 \sin( \alpha ) \sin( \beta )  }{ 2\sin( \alpha )  \cos( \beta )  - \sin( \alpha   - \beta )   }  =  \\  =  \sqrt{3}  \times  \frac{ \cos( \alpha ) \cos( \beta )    + \sin( \alpha )   \sin( \beta ) - 2 \sin( \alpha ) \sin( \beta )   }{2 \sin( \alpha ) \cos( \beta )   - \sin( \alpha )  \cos( \beta )  +   \sin( \beta ) \cos( \alpha )  }  \\  =  \sqrt{3}  \times  \frac{ \cos( \alpha )  \cos( \beta )   - \sin( \alpha )  \sin( \beta ) }{ \sin( \alpha ) \cos( \beta )  +  \sin( \beta )  \cos( \alpha )  }  =  \\  =  \sqrt{3}  \times  \frac{ \cos( \alpha +   \beta ) }{ \sin( \alpha  +  \beta ) }  =  \sqrt{3} ctg(  \alpha +  \beta )

 \sqrt{3} ctg( \alpha  + \beta  ) =  \sqrt{3} ctg(120^{\circ}) =  \\  =  -  \sqrt{3} ctg(60^{\circ}) =  -  \sqrt{3}  \times  \frac{ \sqrt{3} }{3}  =  - 1


Аноним: https://znanija.com/task/43343129 прошу вас помогите прошу
Аноним: поэтому сайту не входит
Вас заинтересует