• Предмет: Математика
  • Автор: bralre345621
  • Вопрос задан 3 года назад

Срочно нужна помощь.
Нужно решить методом замены неопределенного интеграла​

Приложения:

Miroslava227: здесь только половина решается методом замены, остальное либо по частям, либо обычное интегрирование

Ответы

Ответ дал: Miroslava227
2

Ответ:

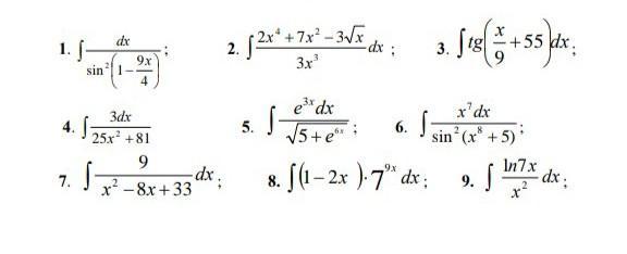
1.

 \int\limits \frac{dx}{ \sin {}^{2} (1 -  \frac{9x}{4} ) }  \\  \\ 1 -  \frac{9x}{4}  = t \\  -  \frac{9}{4} dx = dt \\ dx =  -  \frac{4}{9} dt \\  \\   -  \frac{4}{9}   \int\limits \frac{dt}{ \sin {}^{2} (t) }  =  -  \frac{4}{9}  \times ( - \ctg(t)) + C =  \\  =  \frac{4}{9} \ctg(1 -  \frac{9x}{4} ) + C

2.

 \int\limits \frac{2 {x}^{4} + 7 {x}^{2}   - 3 \sqrt{x} }{3 {x}^{3} } dx =    \int\limits( \frac{2 {x}^{4} }{3 {x}^{3}     } +  \frac{7 {x}^{2} }{3 {x}^{3} } -  \frac{3 \sqrt{x} }{3 {x}^{3} } )dx  = \\  =  \int\limits( \frac{2}{3} x +  \frac{7}{3x}  -  {x}^{ -  \frac{5}{2} } )dx =  \frac{2}{3}  \times  \frac{ {x}^{2} }{2}  +  \frac{7}{3} ln |x|  -  \frac{ {x}^{ -  \frac{3}{2} } }{( -  \frac{3}{2} )} + C=  \\  =  \frac{ {x}^{2} }{3}  +  \frac{7}{3} ln |x|  +  \frac{2}{3x \sqrt{x} }  + C

3.

 \int\limits \: tg( \frac{x}{9}  + 55)dx =  \int\limits \frac{ \sin( \frac{x}{9} + 55 ) }{ \cos( \frac{x}{9} + 55 ) } dx \\  \\  \cos( \frac{x}{9}  + 55)  = t \\  -  \sin( \frac{x}{9}  + 55)  \times ( \frac{x}{9} + 55)' dx = dt \\  -  \sin( \frac{x}{9} + 55 )  \times  \frac{1}{9} dx = dt \\  \sin( \frac{x}{9}  + 55) dx =  - 9dt \\  \\  \int\limits \frac{( - 9)dt}{t}  =  - 9 ln |t|  + C =  \\  =  - 9ln | \cos( \frac{x}{9}  + 55) |  + C

4.

 \int\limits \frac{3dx}{25 {x}^{2} + 81 }  =  \int\limits \frac{3dx}{ {(5x)}^{2}  + 81}  \\  \\ 5x = t \\ 5dx = dt \\dx  =  \frac{dt}{5}  \\  \\  \frac{1}{5}  \int\limits \frac{3dt}{ {t}^{2}  + 81}  =  \frac{3}{5}  \int\limits \frac{dt}{t {}^{2}  +  {9}^{2} }  =  \\  =  \frac{3}{5}  \times  \frac{1}{9} \arctg( \frac{t}{9} ) + C =  \frac{1}{15} \arctg ( \frac{5x}{9}) + C

5.

 \int\limits \frac{e {}^{3x} dx}{ \sqrt{5 + e {}^{6x} } } =   \int\limits \frac{e {}^{3x} dx}{ \sqrt{5 +  {(e {}^{3x} )}^{2} } }  \\  \\ e {}^{3x}  = t \\ e {}^{3x}  \times 3dx = dt \\  {e}^{3x} dx =  \frac{dt}{3}  \\  \\  \frac{1}{3}  \int\limits \frac{dt}{ \sqrt{5 + t {}^{2} } }  =  \frac{1}{3}  \int\limits \frac{dt}{ \sqrt{ {t}^{2}  +  {( \sqrt{5}) }^{2} } }  =  \\  =  \frac{1}{3} ln |t +  \sqrt{5 +  {t}^{2} } |  + C =  \\  =  \frac{1}{3} ln | e {}^{3x} +  \sqrt{5 + e {}^{6x} } |  + C

6.

 \int\limits \frac{ {x}^{7}dx }{ \sin {}^{2} ( {x}^{8} + 5 ) }  \\  \\  {x}^{8} + 5 = t \\ 8 {x}^{7}   dx=dt  \\  {x}^{7}  dx=  \frac{dt}{8}  \\  \\   \frac{1}{8} \int\limits \frac{dt}{ \sin {}^{2} (t) }  =  -  \frac{1}  {8} ctg(t) + C =  \\  =  -  \frac{1}{8} ctg( {x}^{8}  + 5) + C

7.

 \int\limits \frac{9dx}{ {x}^{2} - 8x + 33 }  \\  \\  {x}^{2}  - 8x + 33 =  {x}^{2}  - 2 \times x \times 4 + 16 + 17 =  \\  =  {(x - 4)}^{2}  + 17 =  {(x - 4)}^{2}  +  {( \sqrt{17} )}^{2}  \\  \\  \int\limits \frac{9dx}{ {(x - 4)}^{2}  +  {( \sqrt{17}) }^{2} }  \\  \\ x - 4 = t \\ dx = dt \\  \\  \int\limits \frac{9dt}{t {}^{2}  +  {( \sqrt{17} )}^{2}  }  =  \frac{9}{ \sqrt{17} } \arctg( \frac{t}{ \sqrt{17} )} +  C =  \\  =  \frac{9}{ \sqrt{17} } \arctg( \frac{x - 4}{ \sqrt{17} } ) + C

8.

 \int\limits(1 - 2x) {7}^{9x} dx \\

По частям:

U= 1 - 2x \:  \:  \: \:  \:  \:  dU = (1 - 2x)' dx=  - 2dx \\ dV =  {7}^{9x} dx \:  \:  \:  \: V =  \frac{1}{9}  \int\limits {7}^{9x} d(9x) =  \frac{1}{9}  \times  \frac{ {7}^{9x} }{ ln(7) }  \\  \\ UV -  \int\limits \: VdU =  \\  =  \frac{1 - 2x}{9 ln(7) }   \times {7}^{9x}  +  \frac{2}{9 ln(7) }  \int\limits {7}^{9x}  dx =  \\  =  \frac{(1 - 2x) {7}^{9x} }{9 ln(7) }  +  \frac{2}{9 ln(7) }  \times  \frac{ {7}^{9x} }{9 ln(7) }  + C =  \\  =  \frac{7 {}^{9x} }{9 ln(7) }  \times (1 - 2x +  \frac{2}{9 ln(7) } ) + C =  \\  =  \frac{ {7}^{9x} }{9 ln(7) } ( \frac{9 ln(7)  + 2}{9 ln(7) }  - 2x) + C

9.

 \int\limits \frac{ ln(7x) }{ {x}^{2} } dx \\

По частям:

U =  ln(7x)  \:  \:\:  \: dU =  \frac{1}{7x}  \times 7dx =  \frac{dx}{x}  \\ dV=  \frac{dx}{ {x}^{2} }  \:  \: \:\:\:V =  \frac{ {x}^{ - 1} }{ - 1}  =  -  \frac{1}{x}  \\  \\  -  \frac{ ln(7x) }{x}  +  \int\limits \frac{1}{x}  \times  \frac{dx}{x}  =   \\  = -  \frac{ ln(7x) }{x}  +  \frac{ {x}^{ - 1} }{( - 1)}  + C =  \\  =  -  \frac{ ln(7x) }{x}  -  \frac{1}{x}  +C =  -  \frac{1}{x} ( ln(7x)  + 1) + C


bralre345621: Спасибо за помощь!)
sovcukn: Здравствуйте,простите,можете помочь?
Вас заинтересует