• Предмет: Математика
  • Автор: abosharova
  • Вопрос задан 3 года назад

Плиз , нужна помощь , я не могу разобраться в это ​

Приложения:

dev4edu: какое задание
dev4edu: (пощитать или сравнить)
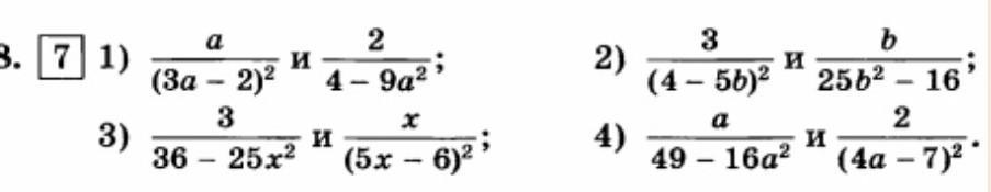
abosharova: Сократить Алгебраическую дробь
dev4edu: я такого еще не учила:(
abosharova: все равно спасибо )
solyanine: В этих примерах невозможно сократить. Может быть найти сумму или разность, или привести к общему знаменателю?
abosharova: Привести к общему знаменателю

Ответы

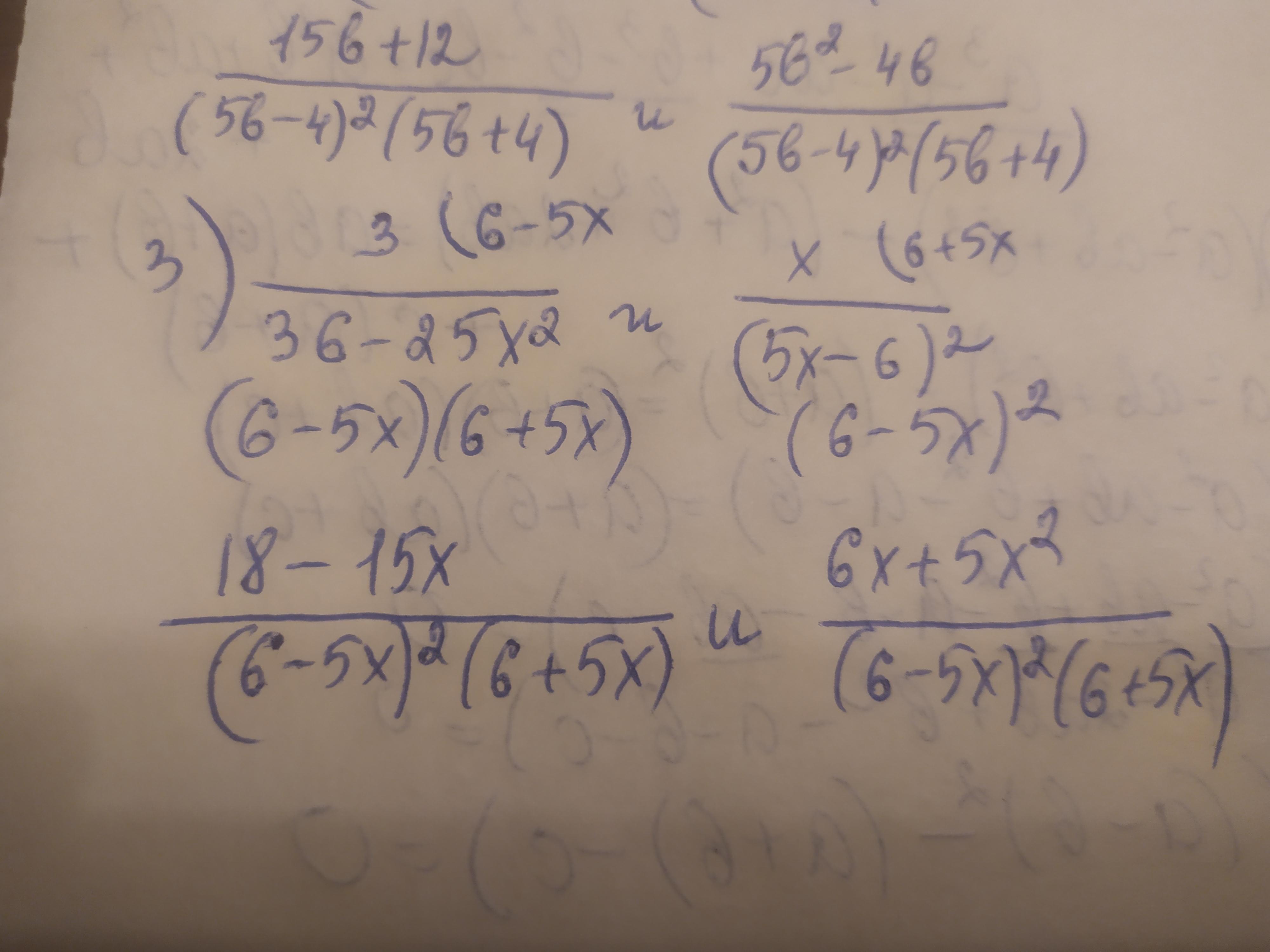
Ответ дал: solyanine
1

Ответ:

Пошаговое объяснение:

Приложения:
Вас заинтересует