• Предмет: Математика
  • Автор: wrwrwwwrw
  • Вопрос задан 3 года назад

помогите пж с обоими заданиями

Приложения:

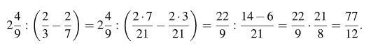
77757890155: я магу помоч
77757890155: 77 сверху
77757890155: 12 в низу

Ответы

Ответ дал: arina8050
1

Ответ:

на будущее нажми на 76 там ответ

Пошаговое объяснение:

1.на фото

2. − 4,9 + 4,81 : 1,3 = − 4,9 + 3,7 = − 1,2.

Приложения:
Ответ дал: alona51
0
Ответ:
2.) -4,9+4,81:1,3=-4,9+3,7=-1,2
Вас заинтересует