• Предмет: Алгебра
  • Автор: 23ukraina2003
  • Вопрос задан 3 года назад

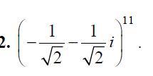
Вычислить за формулой Муавра

Приложения:

Ответы

Ответ дал: hote
0

\displaystyle z=(-\frac{1}{\sqrt{2}}-\frac{1}{\sqrt{2}}i)^{11}

Запишем число z в показательной форме:

\displaystyle |z|=\sqrt{(\frac{1}{\sqrt{2}})^2+(\frac{1}{\sqrt{2}})^2}=\sqrt{\frac{1}{2}+\frac{1}{2}}=1

Поскольку число z находится в III четверти, то

\displaystyle g=-\pi +arctg\frac{b}{a}=-\pi +arctg1=-\pi +\frac{\pi }{4}=-\frac{3\pi }{4}

тогда

\displaystyle z= 1*e^{i*(-\frac{3\pi }{4})}

теперь возведем в степень

\displaystyle z^{11}=(e^{i*(-\frac{3\pi }{4})})^{11}=e^{i*(-\frac{33\pi }{4})}=e^{i*(-\frac{\pi }{4})}=1*(cos(-\frac{\pi }{4})+i*sin(-\frac{\pi }{4})=\\\\=\frac{1}{\sqrt{2}}+i*(-\frac{1}{\sqrt{2}} )=\frac{1}{\sqrt{2}}-\frac{1}{\sqrt{2}}i}

Вас заинтересует