Добрый вечер! Я не понимаю новые темы по тригонометрии, и мне очень нужно что бы кто-то помог мне решить эти 10 примеров сегодня. Только просьба. ПИШИТЕ ПОДРОБНО ВСЕ ДЕЙСТВИЯ КОТОРЫЕ ВЫ ДЕЛАЕТЕ.(СОКРАЩЕНИЯ И Т.Д.) заранее большое спасибо, даже если решите не все!
Приложения:

xacku2020:
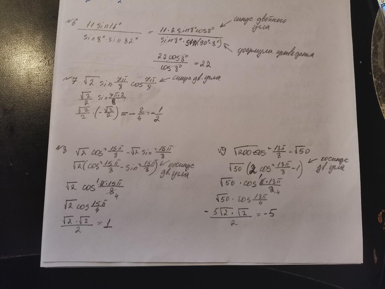
на формулы косинус 2 альфа и синус 2 альфа
Ответы
Ответ дал:
1
Ответ:
Всё сводится к формулам синуса и косинуса двойного угла
Объяснение:
Приложения:



Вас заинтересует
2 года назад
8 лет назад