• Предмет: Геометрия
  • Автор: tarasyukdasha029
  • Вопрос задан 3 года назад

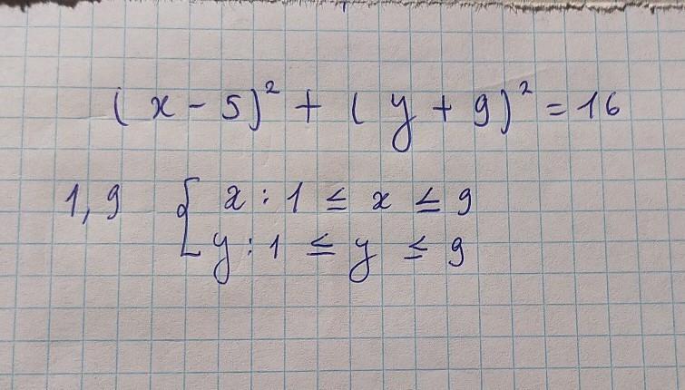
які координати має центр кола (х-5)² + (у+9)² = 16
будь ласка поясніть ​

Ответы

Ответ дал: lkuchinskaa96
2

Найдем область определения, отыскав промежутки, на которых уравнение определено. Областью значений будет набор величин, соответствующих области определения.

Приложения:
Вас заинтересует