• Предмет: Математика
  • Автор: Аноним
  • Вопрос задан 3 года назад

4. Решите уравнение:

(у + 4 ¼) : 7= 1,6​

Ответы

Ответ дал: Аноним
1

Ответ:

(y + 4.25)  \div 7 = 1.6

(y + 4.25) = 11.2

y = 11.2 - 4.25

y = 6.95

Надеюсь помог :)

Буду рад, если вы отметите мой ответ лучшим :=)

А также, пожалуйста подпишитесь на меня :?)


Аноним: отметьте мой ответ лучшим и подпишитесь пожалуйста
Аноним: точно просто у меня сор
Аноним: да
Аноним: Точно, верьте
Аноним: :)
Аноним: лучший, можно
Аноним: да только когда появится у меня ещё нет отметить лучшие
Аноним: ок, поблагодарите, пожалуйста
Аноним: все
Аноним: да, спасибо, жду лучшего
Ответ дал: EpicSans08
0

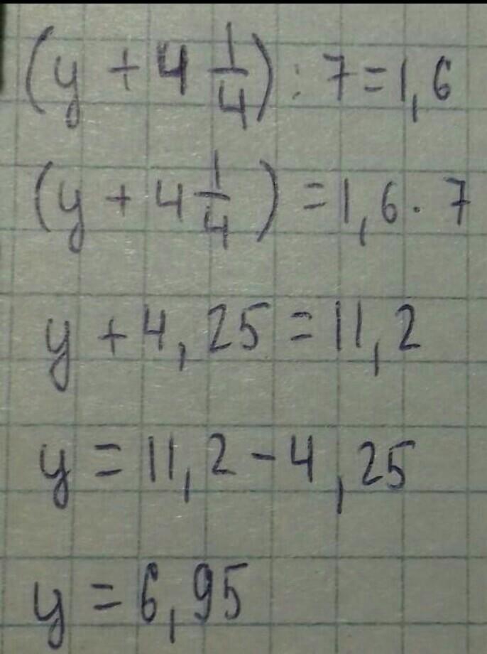
Ответ:

Ответ на фото

Пошаговое объяснение:

Ответ на фото

Приложения:
Вас заинтересует