• Предмет: Математика
  • Автор: ratmirasmatullayev
  • Вопрос задан 3 года назад

1 целая 3/4 умножить на 0,4 + 0,3​

Ответы

Ответ дал: Аноним
1

Ответ:

1

Пошаговое объяснение:

1 \frac{3}{4}  \times 0.4 + 0.3 =  \frac{7}{4}   \times \frac{5}{2}  +  \frac{3}{10} =  \frac{7}{10}  +  \frac{3}{10}  =  \frac{10}{10}  = 1


ratmirasmatullayev: спасибо огромное
ratmirasmatullayev: выручил друг
Аноним: о 30к балов
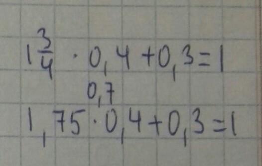
Ответ дал: EpicSans08
1

Ответ:

Ответ на фото

Пошаговое объяснение:

Ответ на фото

Приложения:

ratmirasmatullayev: спасибо
ratmirasmatullayev: огромное
Вас заинтересует