• Предмет: Математика
  • Автор: vladimir7878329
  • Вопрос задан 3 года назад

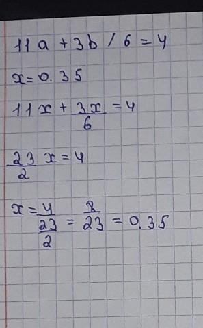
11а+3b/6=4
Пожалуйста срочно

Ответы

Ответ дал: asatyllaeva1981
1

Ответ:

удачи тебе получи 5 ♥️

Приложения:

vladimir7878329: Спасибо большое
Вас заинтересует