Ответы
Ответ дал:
0
Ответ:
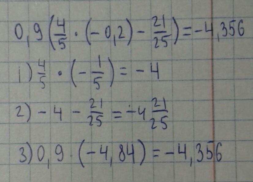
Ответ на фото
Пошаговое объяснение:
Ответ на фото
Приложения:

Ответ дал:
0
0,9×(4/5×(-0,2)-21/25)
1)4/5*(-0,2)= -4/25;
2) -4/25-21/25= -1;
3) 0,9* -1= -0,9
Ответ: -0,9.
Вас заинтересует
2 года назад
2 года назад
2 года назад
2 года назад
8 лет назад
9 лет назад
9 лет назад