• Предмет: Алгебра
  • Автор: toshkenttoashkent
  • Вопрос задан 3 года назад

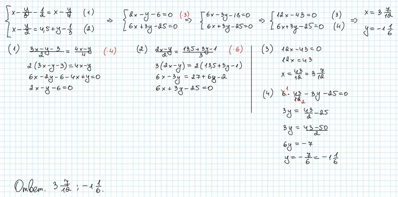
решить систему уравнений
х-у/3-1/2=х-у/4
х-у/2=4,5+у-1/3 помогите пожалуйста!!!​

Ответы

Ответ дал: AiMus
1

Ответ:

Ответы на картинке

Объяснение:

Приложения:

toshkenttoashkent: спасибо большое
Вас заинтересует