• Предмет: Математика
  • Автор: egot7
  • Вопрос задан 3 года назад

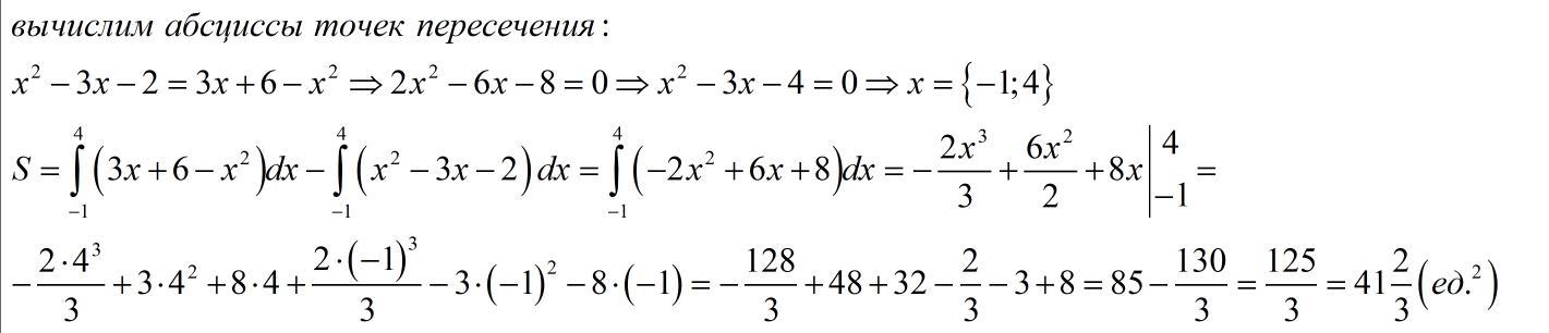
Вычисли площадь фигуры, ограниченной линиями: y=x2−3x−2,y=3x+6−x2.


egot7: рр

Ответы

Ответ дал: palilov243659
2

Ответ:

Пошаговое объяснение:

///////////////////////////////////////

Приложения:
Вас заинтересует