• Предмет: Математика
  • Автор: Siucide
  • Вопрос задан 3 года назад

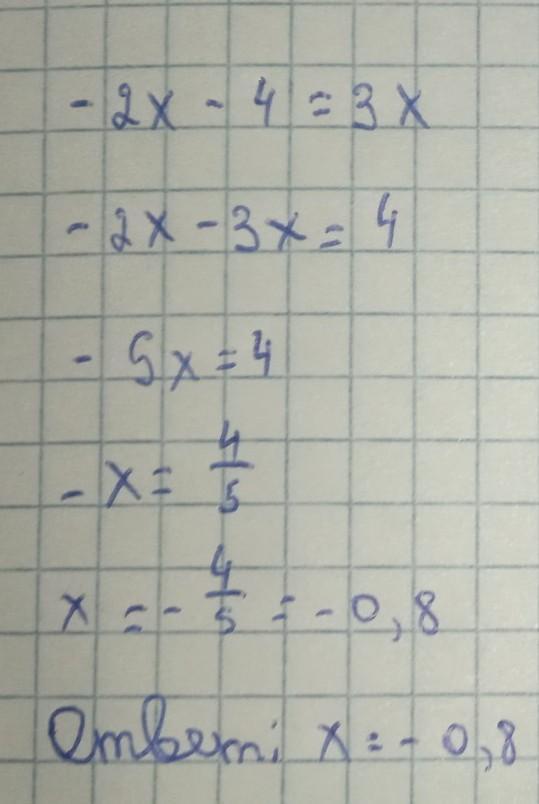
найти корень уравнения срочно
-2x - 4 = 3x

Ответы

Ответ дал: LiudmilaZubkova047
1

Ответ:

-2х-4=3х -2х-3х=4 -5х=4 5х=-4 х =-4/5 мину четыре пятых это корень уравнения

Ответ дал: ilyasvasechko
1

Пошаговое объяснение:

Ответ но фото. Надеюсь смог помочь.

Приложения:

Siucide: всё понятно, спасибо
ilyasvasechko: Всегда пожалуйста!
Вас заинтересует