• Предмет: Математика
  • Автор: zubekhinmikhail
  • Вопрос задан 3 года назад

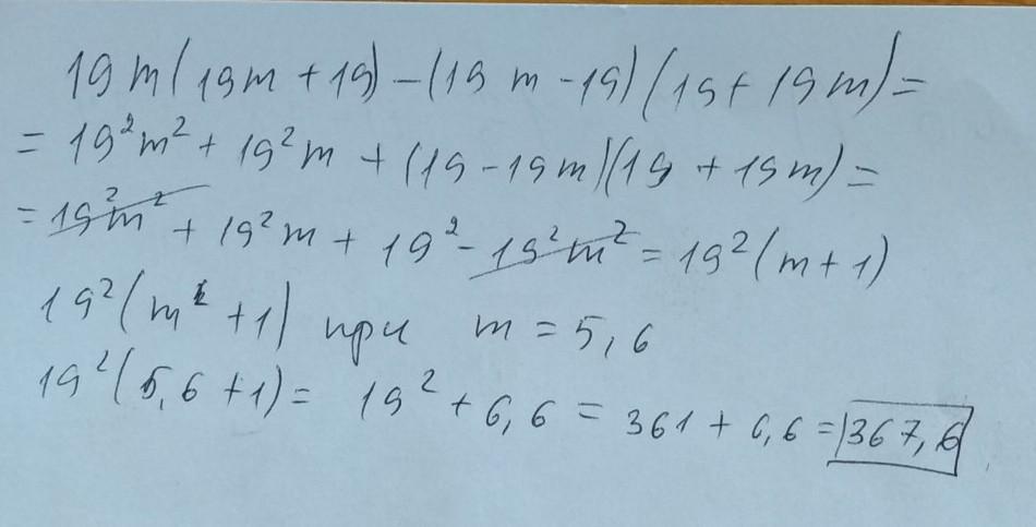
Упрости выражение и найди его значение при m=5,6.

19m(19m+19)−(19m−19)(19+19m). Даю 80 баллов

Ответы

Ответ дал: gggarbakov
1

Ответ:

Смотри решение на фото

Пошаговое объяснение:

Надеюсь на лучший ответ

Приложения:

zubekhinmikhail: спс
Вас заинтересует