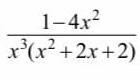
Помогите пожалуйста, нужно написать вид разложения функции на элементарные дроби. (нужно написать разложение данного примера и формулу, которой воспользовались для решения этого задания).
Приложения:

Ответы
Ответ дал:
1
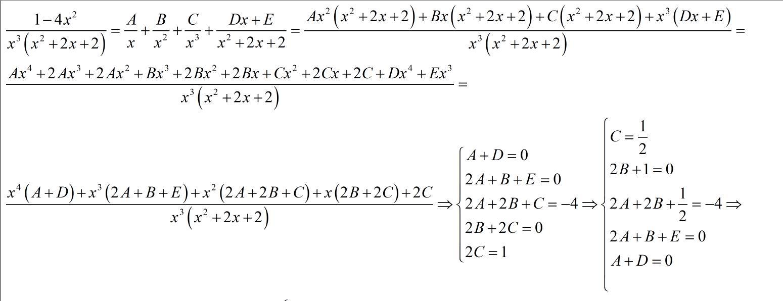
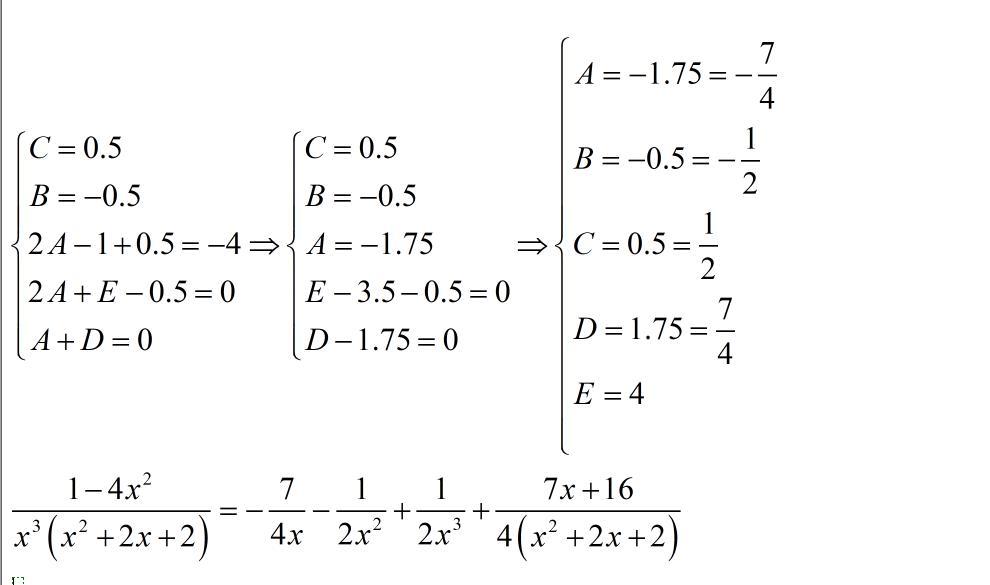
Ответ:
Пошаговое объяснение:
/////////////////////////////////
Приложения:


Вас заинтересует
2 года назад
2 года назад
2 года назад
8 лет назад
8 лет назад
9 лет назад