• Предмет: Математика
  • Автор: dumpling55
  • Вопрос задан 3 года назад

Пожалуйста пришлите фотографию как решается уравнение г)​

Приложения:

Ответы

Ответ дал: SuPrime007
0

Ответ:

Пошаговое объяснение:

Фото сделать не могу но:

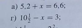
a) 5.2+x=6.6

x=6.6-5.2

x=1.4

г) 10\frac{1}{2} -x=3

10.5-x=3

10.5=3+x

x=10,5-3

x=7.5=7\frac{1}{2}

Ответ дал: Demanaize
0

10½-х=3

21/2-х=3

-х=3-21/2

-х=-15/2

х=15/2=7 1/2(или 7,5)

Вас заинтересует