• Предмет: Алгебра
  • Автор: Gar1c
  • Вопрос задан 3 года назад

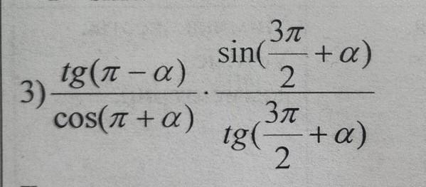
помогите пожалуйста,упростите выражение:​

Приложения:

Ответы

Ответ дал: Miroslava227
0

Ответ:

 \frac{\tg(\pi  - \alpha )}{ \cos(\pi  + \alpha ) }  \times  \frac{ \sin( \frac{3\pi}{2} +  \alpha  ) }{\tg( \frac{3\pi}{2} +  \alpha ) }  =  \\  =  \frac{ - \tg \alpha }{  - \cos( \alpha ) }  \times  \frac{( -  \cos( \alpha )) }{( - \ctg \alpha) }  =  \\  = \tg (\alpha) \times  \tg (\alpha) =  \tg {}^{2} ( \alpha )


Gar1c: Можно пожалуйста объеснение,куда исчез котангес во втором действии ?
Miroslava227: 1/ctgx = tgx
Вас заинтересует