• Предмет: Математика
  • Автор: schafermartin2304
  • Вопрос задан 3 года назад

Б
Вычисли.
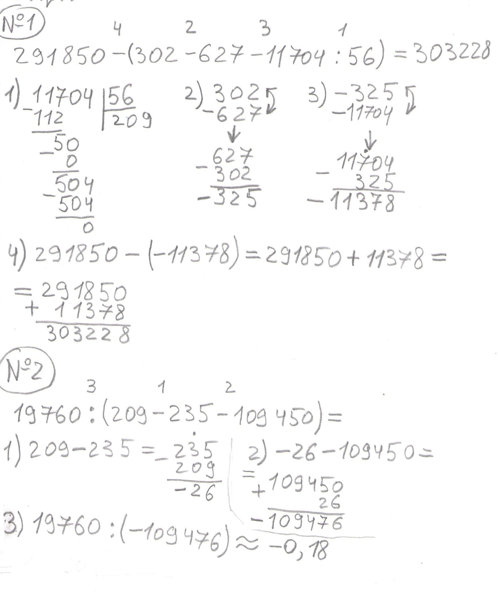
291 850 - (302-627 - 11 704:56)
19 760 : (209-235 - 109.450) можно на листке​


malyshevleonid07: Сейчас сделаю на листке

Ответы

Ответ дал: VovaDuduk
3

Ответ:

Второе не знаю

Пошаговое объяснение:

1. 1) 11 704:56= 209

2) 302.627-209= 326.418

3) 326 418-291 850=34 568

ответ: 34.568


schafermartin2304: спс
malyshevleonid07: Ща на листке с решением сделаю
schafermartin2304: ок
malyshevleonid07: У него не верно кстати
malyshevleonid07: Чуть-чуть не так посчитал
schafermartin2304: ок
Ответ дал: malyshevleonid07
4

Можно лучший ответ, пожалуйста?

Приложения:
Вас заинтересует