• Предмет: Математика
  • Автор: СашулькаXD
  • Вопрос задан 10 лет назад

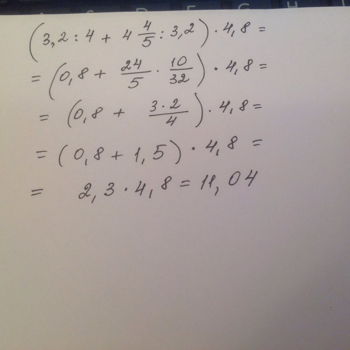
Выполните действия: (3,2 : 4 + 4 4/5 : 3,2) · 4,8

Ответы

Ответ дал: ВладимирБ
0
Решение смотри в приложении
Приложения:
Вас заинтересует