СРОЧНООООООООООО
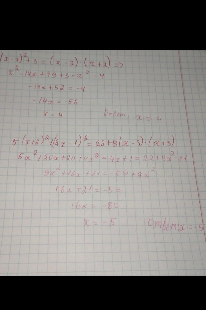
Розв’яжіть рівняння: а) (х – 7)^2 + 3 = (х – 2)(х + 2);
б) 5(х + 2)^2 + (2х – 1)^2 = 22 + 9(х – 3)(х + 3)
Ответы
Ответ дал:
1
Ответ:
Приложения:

Ответ дал:
1
Ответ:
_____________________
Приложения:

Вас заинтересует
2 года назад
2 года назад
2 года назад
2 года назад
8 лет назад
9 лет назад