• Предмет: Алгебра
  • Автор: kiryanikandrov03
  • Вопрос задан 3 года назад

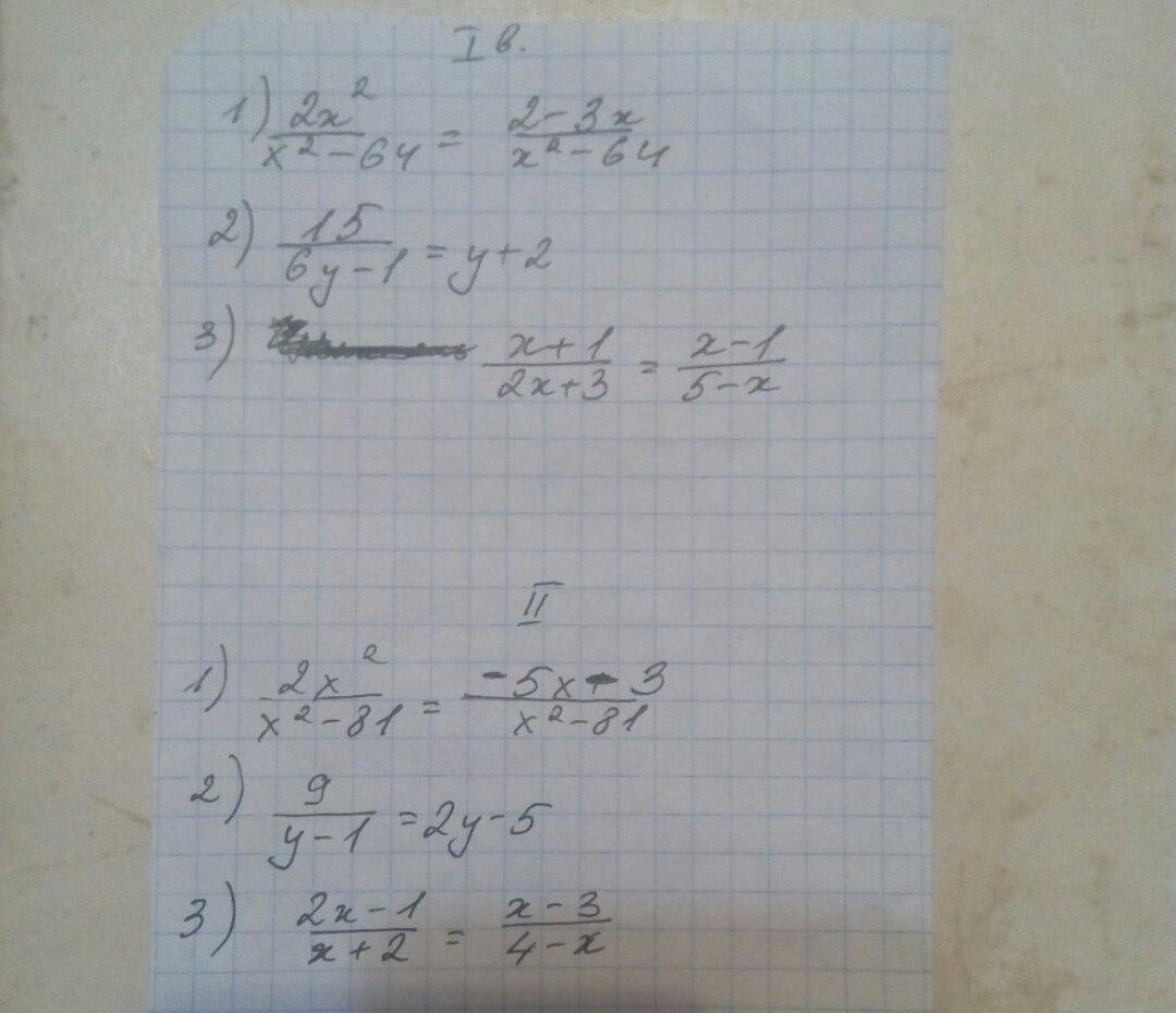
ДАЮ 50 БАЛЛОВ. РЕШИТЬ ОБА ВАРИАНТА. АЛГЕБРА 8 КЛАСС

Приложения:

Ответы

Ответ дал: kris3283995
0

Ответ:

1 вариант и 2

(смотри фото)...............

Приложения:
Вас заинтересует