• Предмет: Математика
  • Автор: KWORK
  • Вопрос задан 3 года назад

решите уравнение
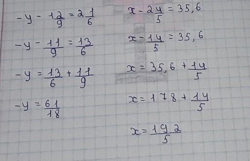
б) -y-1 2/9=2 1/6
в) x-2 4/5=35,6
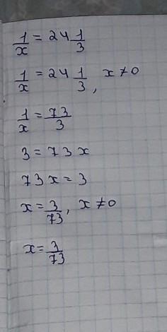
г) 1/x=24 1/3​

Ответы

Ответ дал: asatyllaeva1981
1

Ответ:

удачи тебе получи 5 ♥️

Приложения:
Вас заинтересует