• Предмет: Математика
  • Автор: Нарушитель245
  • Вопрос задан 3 года назад

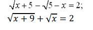
ПОМОГИТЕ РЕШИТЬ УРАВНЕНИЯ

Приложения:

Ответы

Ответ дал: MatemaT123
1

Ответ:

4;

Нет корней;

Пошаговое объяснение:

ОДЗ:

$ \displaystyle \left \{ {{x+5 \geq 0} \atop {5-x \geq 0}} \right. \Leftrightarrow \left \{ {{x \geq -5} \atop {x-5 \leq 0}} \right. \Leftrightarrow \left \{ {{x \geq -5} \atop {x \leq 5}} \right. \Leftrightarrow x \in [-5; 5];

x+5 > 5-x \Rightarrow 2x > 0 \Rightarrow x > 0;

Итого:

x \in (0; 5];

Решение:

\sqrt{x+5}-\sqrt{5-x}=2;

(\sqrt{x+5}-\sqrt{5-x})^{2}=2^{2};

(\sqrt{x+5})^{2}-2 \cdot \sqrt{x+5} \cdot \sqrt{5-x}+(\sqrt{5-x})^{2}=4;

x+5-2 \cdot \sqrt{(5+x)(5-x)}+5-x=4;

10-2 \cdot \sqrt{25-x^{2}}=4;

2 \cdot \sqrt{25-x^{2}}=10-4;

2 \cdot \sqrt{25-x^{2}}=6;

\sqrt{25-x^{2}}=6:2;

\sqrt{25-x^{2}}=3;

(\sqrt{25-x^{2}})^{2}=3^{2};

25-x^{2}=9;

x^{2}=25-9;

x^{2}=16;

x=\pm \sqrt{16};

x=\pm 4;

Корень x=–4 не удовлетворяет ОДЗ.

Проверка:

\sqrt{4+5}-\sqrt{5-4}=\sqrt{9}-\sqrt{1}=3-1=2;

Корень найден верно.

______________________________________________

ОДЗ:

$ \displaystyle \left \{ {{x+9 \geq 0} \atop {x \geq 0}} \right. \Leftrightarrow \left \{ {{x \geq -9} \atop {x \geq 0}} \right. \Leftrightarrow x \geq 0 \Leftrightarrow x \in [0; +\infty);

Решение:

\sqrt{x+9}+\sqrt{x}=2;

(\sqrt{x+9}+\sqrt{x})^{2}=2^{2};

(\sqrt{x+9})^{2}+2 \cdot \sqrt{x+9} \cdot \sqrt{x}+(\sqrt{x})^{2}=4;

x+9+2 \cdot \sqrt{(x+9) \cdot x}+x=4;

2x+9+2 \cdot \sqrt{x^{2}+9x}=4;

2 \cdot \sqrt{x^{2}+9x}=4-2x-9;

2 \cdot \sqrt{x^{2}+9x}=-2x-5;

\sqrt{x^{2}+9x}=\dfrac{-2x-5}{2};

(\sqrt{x^{2}+9x})^{2}=\bigg (-\dfrac{2x+5}{2} \bigg )^{2};

x^{2}+9x=(-1)^{2} \cdot \bigg (\dfrac{2x+5}{2} \bigg )^{2};

x^{2}+9x=1 \cdot \dfrac{(2x+5)^{2}}{2^{2}};

x^{2}+9x=\dfrac{(2x)^{2}+2 \cdot 2x \cdot 5+5^{2}}{4};

x^{2}+9x=\dfrac{2^{2} \cdot x^{2}+20x+25}{4};

x^{2}+9x=\dfrac{4x^{2}+20x+25}{4} \quad \bigg | \quad \cdot 4

4x^{2}+36x=4x^{2}+20x+25;

4x^{2}-4x^{2}+36x-20x=25;

16x=25;

x=\dfrac{25}{16};

x=1\dfrac{9}{16};

Проверка:

\sqrt{1\dfrac{9}{16}+9}+\sqrt{1\dfrac{9}{16}}=\sqrt{10\dfrac{9}{16}}+\sqrt{\dfrac{25}{16}}=\sqrt{\dfrac{169}{16}}+\dfrac{5}{4}=\dfrac{13}{4}+\dfrac{5}{4}=\dfrac{18}{4}=4,5 \neq 2;

Полученный корень не обращает уравнение в верное равенство ⇒ корней нет.

Вас заинтересует