• Предмет: Математика
  • Автор: meirbaevaset
  • Вопрос задан 3 года назад

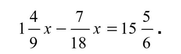
Решите уравнение:    1 целая 4/9x -7/18x=15 5/6

Приложения:

Ответы

Ответ дал: aleksa347
7

Пошаговое объяснение:

1 8/18 х - 7/18 х = 15 15/18

1 1/18 х = 15 15/18

х = 285/18 ÷ 19/18

х=15


aleksa347: Сделаешь лучшим ответом?)
Вас заинтересует