• Предмет: Математика
  • Автор: amostovii
  • Вопрос задан 3 года назад

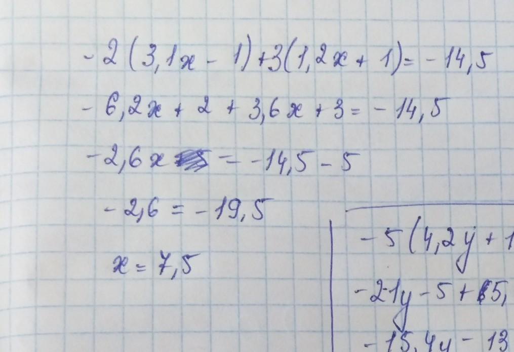
-2(3,1x-1)+3(1,2x+1)=-14,5 решите пожалуйста
-5(4,2y+1)+4(1,4y-2)=20,7
я в 6 классе

Ответы

Ответ дал: vsevolodbokiko
1

Ответ:

Я не знаю почему там такой большой дробь, но даже калькулятор такое выдаёт

Приложения:
Вас заинтересует