• Предмет: Биология
  • Автор: magaelektro65
  • Вопрос задан 3 года назад

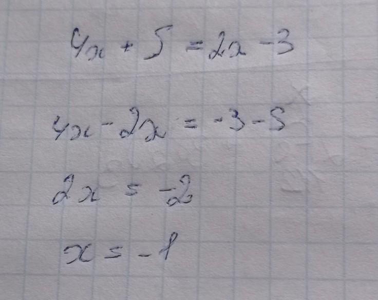
4x+5=2x-3 решите уравнение пожалуйста

Ответы

Ответ дал: OoOHuManOoO
1

Ответ:

....................

Приложения:

x2cbszr6sv: 4х+5=2х-3
Ответ дал: x2cbszr6sv
1

Ответ:

4х+5=2х-3

4х-2х=-3-5

2х=-8

Х=-4

Объяснение:

Вас заинтересует