• Предмет: Алгебра
  • Автор: artemkrasovskij99
  • Вопрос задан 3 года назад

Помогите срочно это очень срочно, прошу помогите!!!!!!
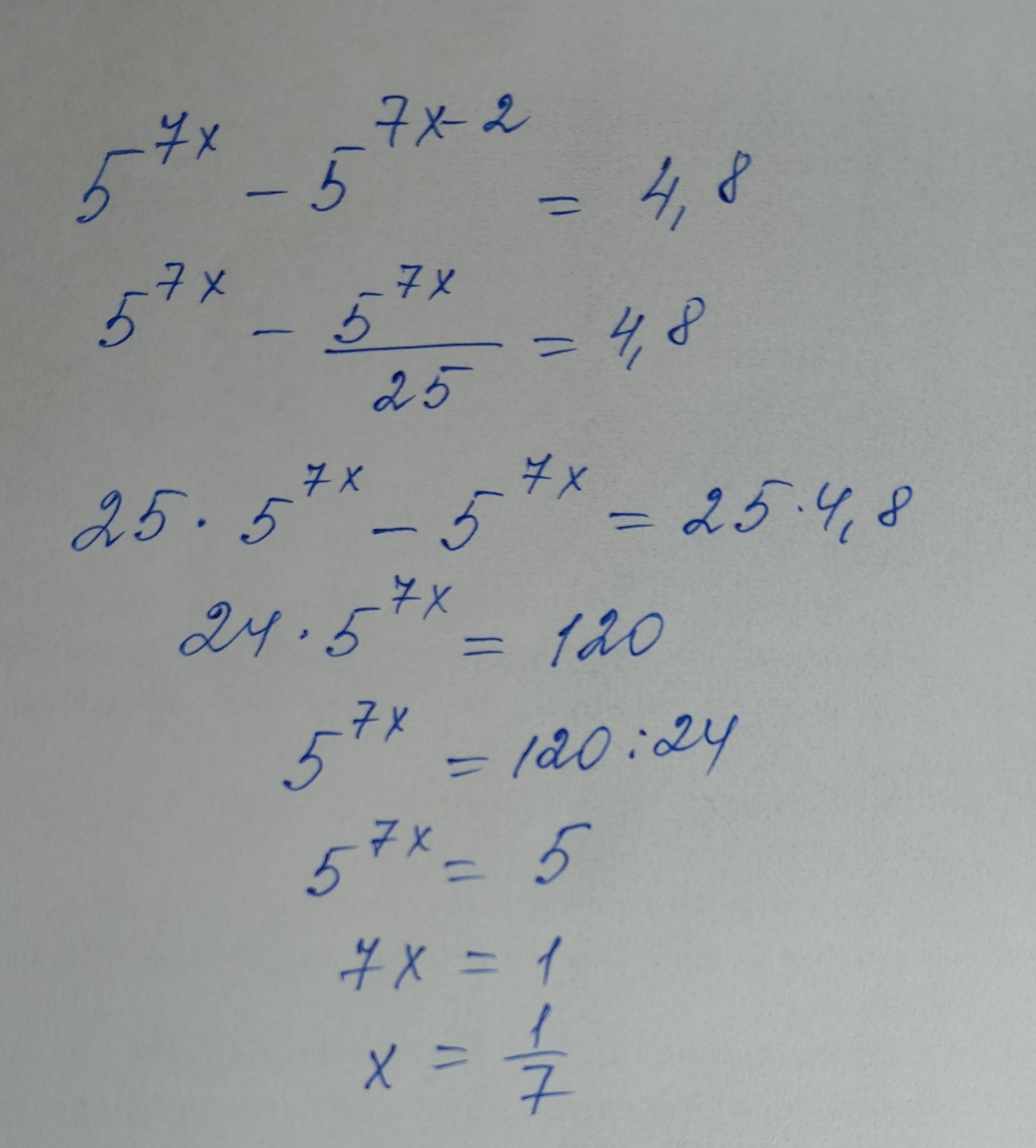
Тут нужно решить уравнение ​

Приложения:

artemkrasovskij99: Я вот такие примеры непонимаю.
artemkrasovskij99: Спасибо вам выручили.

Ответы

Ответ дал: ВладимирБ
5

Ответ:

Объяснение:

На фото................

Приложения:

deimonarn: Шерлок Холмс;).
BlackFox2030: Здравствуйте! можете пожалуйста помочь с алгеброй? буду благодарна
Вас заинтересует