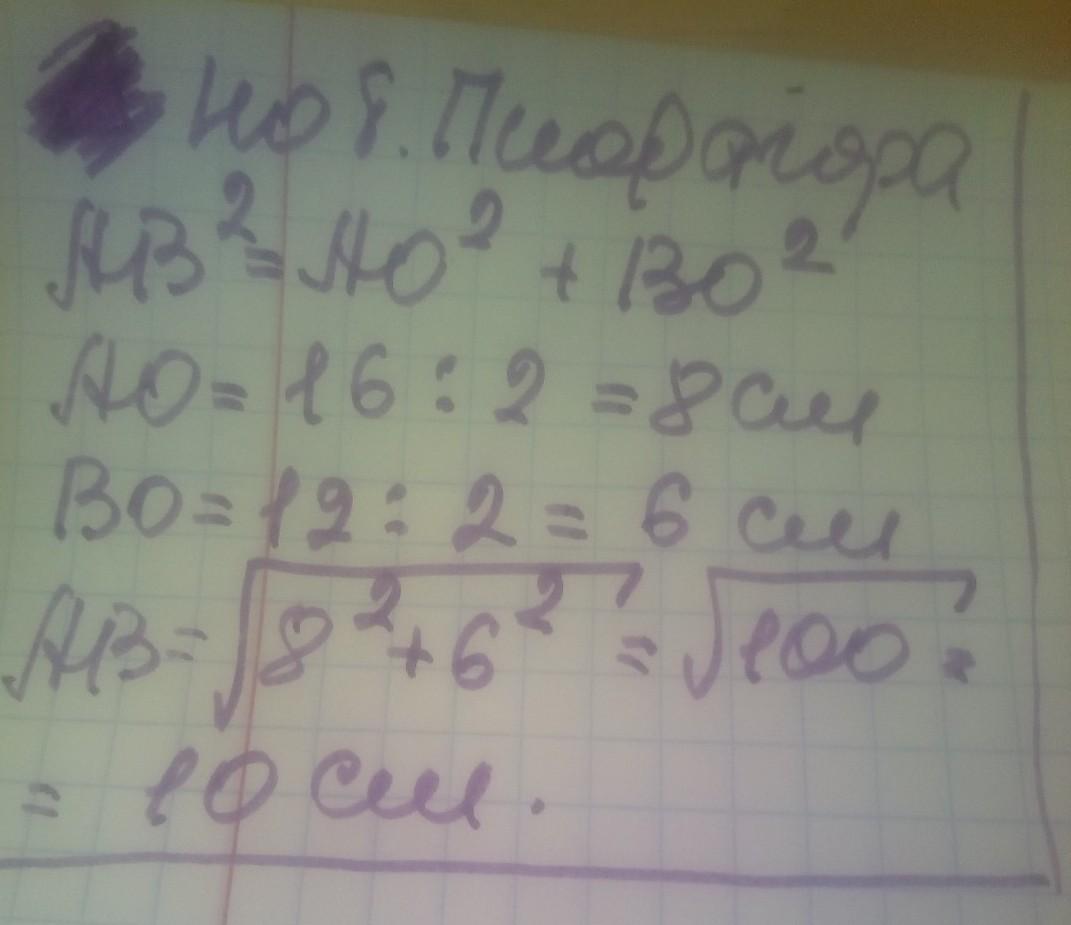
24. Діагоналі ромба дорівнюють 12 см і 16 см.
Знайдіть сторону ромба.
A. 8 см;
Б. 10 см;
В. 16 см;
Г. 20 см.
Ответы
Ответ дал:
3
Ответ:
решение смотри на фотографии
Приложения:


Вас заинтересует
2 года назад
2 года назад
2 года назад
2 года назад
8 лет назад
8 лет назад
9 лет назад