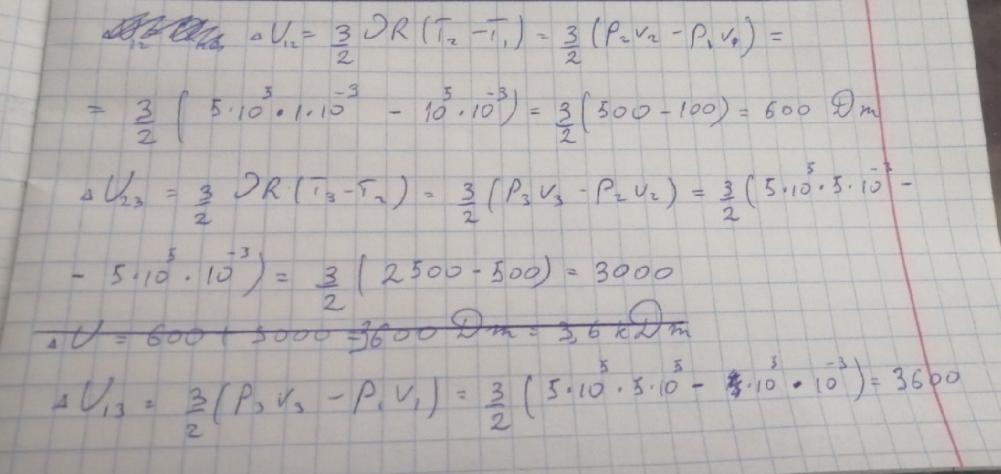
На рисунке показан график зависимости давления от объёма при переходе идеального одноатомного газа из состояния 1 в состояние 3. Определите изменения внутренней энергии при процессах 1-2, 2-3, 1-3
Приложения:

Ответы
Ответ дал:
2
Ответ:
1) 600 Дж
2) 3 кДж
3) 3,6 кДж
Приложения:

petrakov2003:
погодь, я чуть чуть не то сделал
Вас заинтересует
2 года назад
2 года назад
2 года назад
2 года назад
8 лет назад
8 лет назад